Mã sản phẩm: NMD Thương hiệu: Việt Nam
600,000 đ
Dụng cụ xác định nhám mặt đường bằng phương pháp rắc cát dùng để kiểm tra nghiệm thu mặt đường mới hoặc để đánh giá chất lượng của mặt đường đang khai thác với loại có lớp mặt là bê tông nhựa hoặc bê tông xi măng.
Dụng cụ xác định nhám mặt đường bằng phương pháp rắc cát
Phù hợp: TCVN 8866:2011 "MẶT ĐƯỜNG Ô TÔ - XÁC ĐỊNH ĐỘ NHÁM MẶT ĐƯỜNG BẰNG PHƯƠNG PHÁP RẮC CÁT - THỬ NGHIỆM"
1. Chức năng:
Dụng cụ xác định nhám mặt đường bằng phương pháp rắc cát dùng để kiểm tra nghiệm thu mặt đường mới hoặc để đánh giá chất lượng của mặt đường đang khai thác với loại có lớp mặt là bê tông nhựa hoặc bê tông xi măng.
Ống đong cát dùng để xác định thể tích của các vệt cát, bằng kim loại hoặc nhựa PC cứng, không bị biến dạng, có thể tích bên trong là 25 cm3, một đầu ống được bịt kín.
2. Thông số kỹ thuật:
- Bàn xoa (Hình 1): Là dụng cụ đáy hình tròn, bằng gỗ, đường kính từ (6,0 ¸ 7,5) cm dày từ (6,0 ¸ 10) mm. Mặt đáy của bàn xoa được gắn một lớp cao su mỏng dày khoảng 2mm, mặt trên có núm để cầm.

Hình 1 - Bàn xoa
- Bàn chải sắt cứng và một bàn chải lông mềm để quét sạch mặt đường trước khi rải cát.
- Một thước dài 500 mm khắc vạch đến 1 mm để đo đường kính mảng cát.

3. Các bước tiến hành thí nghiệm:
- Vị trí thử nghiệm được chọn tại các vệt xe chạy. Tại các vị trí đo, mặt đường phải khô, bề mặt đồng đều, không có những đặc điểm cá biệt như vết nứt, các mối nối. Quét sạch mặt đường bằng bàn chải sắt cứng, dùng bàn chải lông mềm dọn sạch các mảnh vụn, hoặc các hạt cốt liệu dính kết rời rạc khỏi mặt đường. Nếu trời có gió, phải đặt các tấm chắn gió xung quanh diện tích thử nghiệm để cát khỏi bay. Không được thử nghiệm khi mặt đường ẩm ướt.
- Đong cát, đổ đầy cát vào ống đong, gõ nhẹ đáy của ống đong nhiều lần trên một mặt cứng. Cho thêm cát vào ống đong cho đầy tới miệng rồi dùng thước r gạt phẳng miệng ống đong.
- Đổ ống đong chứa cát lên vị trí mặt đường đã làm sạch. Dùng bàn xoa có bịt cao su, san cát từ trong ra ngoài theo hình xoắn ốc để tạo thành một mảng cát tròn liên tục, lấp đầy các lỗ h ng trên mặt đường cho ngang bằng với các đỉnh của các hạt cốt liệu. Tiến hành xoa cho đến khi mảng cát không còn lan ra ngoài. Cần chú ý để mảng cát khi xoa có dạng hình tròn.
- Đo ít nhất 4 đường kính đại diện của mảng cát đã xoa, gồm có đường kính lớn nhất, nhỏ nhất và trung gian. Tính đường kính trung bình của mảng cát thí nghiệm, lấy tròn đến mm để làm trị số tính toán.\
4. Tính toán kết quả:
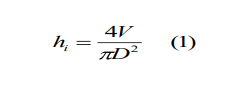
Độ nhám của mặt đường tại mỗi vị trí thử nghiệm (hi), tính bằng milimét, chính xác tới 2 chữ số thập phân, theo công thức sau:
Trong đó:
Hi là độ nhám của mặt đường (chiều sâu cấu trúc vĩ mô) tại vị trí thử nghiệm thứ i, mm;
V là thể tích cát đựng trong ống đong, 25000 mm3
D là đường kính trung bình của mảng cát thí nghiệm đo được, mm.
Độ nhám của đoạn mặt đường được xem là đồng nhất, được tính theo công thức sau:
Trong đó:
Htb là độ nhám (chiều sâu cấu trúc vĩ mô trung bình) của đoạn đường, mm;
Hi là độ nhám (chiều sâu cấu trúc vĩ mô) của mặt đường tại vị trí thử nghiệm thứ i, mm;
N là số điểm thử nghiệm trên đoạn mặt đường đồng nhất
Sản phẩm cùng loại
Thiết bị xác định độ nhớt động bitum
Model: SYD-265E
Dùng để xác định độ nhớt động của bitum lỏng, dầu trải đường và các cặn chưng cất của bitum lỏng tại 60 oC (140 oF) và của bitum tại 135C (275F) (Chú thích 1) với dải độ nhớt từ 6 mm2/s (cSt) đến 100 000 mm2/s (cSt)
Thí nghiệm để xác định chỉ số CBR (California Bearing Ratio) của vật liệu sử dụng làm nền, móng đường (đất, đất gia cố, cấp phối đá dăm, cấp phối tự nhiên…) trong phòng thí nghiệm trên mẫu vật liệu đã được chế bị.
Phù hợp tiêu chuẩn: 22TCN 332:2006; EN 13286-47 / ASTM D1883 / BS 1377-4:1990 / AASHTO T193 / CNR UNI 10009/ NF P94-078.
Thiết bị thử thấm nước bê tông nhựa dùng để xác định độ thấm nước của bê tông nhựa tại hiện trường
Mục đích thí nghiệm là kiểm tra, đánh giá khả năng thoát nước của bê tông nhựa rỗng (Porous Asphalt) hoăc mức độ thấm nước của bê tông nhựa chặt (BTNC) và SMA (Stone Matric Asphalt) khi xây dựng mới hoặc trong quá trình khai thác
Rọ thí nghiệm độ chảy bê tông nhựa, theo tiêu chuẩn TCVN 8860-6:2011 Xác định độ chảy nhựa của bê tông nhựa
Là phương pháp xác định độ chảy nhựa của hỗn hợp bê tông nhựa (BTN), thường áp dụng đối với BTN có độ rỗng lớn bao gồm BTN cấp phối hở, BTN cấp phối gián đoạn để đánh giá khả năng ổn định định chống chảy nhựa của hỗn hợp trong quá trình sản xuất, vận chuyển và thi công.
Địa chỉ: Km số 9, đường 72, Cộng Hoà, Quốc Oai, Hà Nội
Chi nhánh TP.HCM: Số 116/61/3 Đường Thạnh Xuân 13, Phường Thạnh Xuân, Quận 12
Phone: 0966 449 333 - 0933 913 888 - 0933 702 888 - 0969 505 822
Email: anphat283@gmail.com
Website: www.kiemdinhanphat.vn